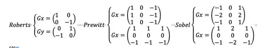
I need to create the next set of equations in latex, at the moment the only thing I know is to create them independently but I need to place them as you can see in the attached image, thank you very much.
And I also need to label the equation.
\[
Roberts=\begin{cases}
G_x = \begin{pmatrix}
1 & 0\\
0 & -1
\end{pmatrix}\\
G_y = \begin{pmatrix}
0 & 1\\
-1 & 1
\end{pmatrix}\\
\end{cases}
]
[
Prewitt=\begin{cases}
G_x = \begin{pmatrix}
1 & 0 & -1\
1 & 0 & -1\
1 & 0 & -1
\end{pmatrix}\
G_y = \begin{pmatrix}
1 & 1 & 1\\
0 & 0 & 0\\
-1 & -1 & -1
\end{pmatrix}\\
\end{cases}
]
[
Sobel=\begin{cases}
G_x = \begin{pmatrix}
-1 & 0 & -1\
-2 & 0 & 2\
-1 & 0 & 1
\end{pmatrix}\
G_y = \begin{pmatrix}
1 & 2 & 1\\
0 & 0 & 0\\
-1 & -2 & -1
\end{pmatrix}\\
\end{cases}
]

