I am writing few equations and it's coming out of column in overleaf.
\begin{equation}
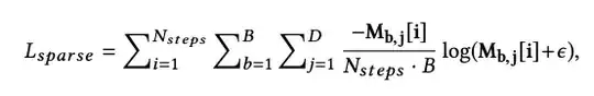
Loss_{\text {de}}=\sum_{i=1}^{N_{\text {steps}}} \sum_{b=1}^{B} \sum_{j=1}^{D} \frac{-\mathbf{M}_{\mathbf{b}, \mathbf{j}}[\mathbf{i}]}{N_{\text {steps}} \cdot B} \log \left(\mathbf{M}_{\mathbf{b}, \mathbf{j}}[\mathbf{i}]+\epsilon\right)
\end{equation}
\begin{equation}
X(k)=\sum_{n=0}^{N-1} x(n) w(n) e^{\frac{-2 \pi i k n}{N}}, \quad k=0,1, \ldots, N-1
\end{equation}
and
\begin{equation}
\hbar_{k}=-\sum_{n=1}^{N-1}\left(\hat{s}_{k}(n)^{2}\right) \ln \left(\hat{s}_{k}(n)^{2}\right), \quad 1 \leq n \leq N-1
\end{equation}
How can I modify those equations to make it looking good and small to fit in one column easily?
How to convert the first equation like this format?





N steps, B, Dfront of\sumas shown in new image? – Aaditya Ura Sep 23 '20 at 23:01mathtoolspackage? – Mico Sep 24 '20 at 00:02N steps, B, Dfront of\sumto fit in one column easily? – Aaditya Ura Sep 24 '20 at 00:56\sum\nolimitsinstead of\sum. The result is just awful. I really don't recommend it. – Mico Sep 24 '20 at 05:11