I am trying to compute the Gaussian Naive Bayes formula in latex, and what I obtained until now is:
$P(x_{\mathrm{i}|$y$}) = \frac{1}{{\sigma \sqrt {2\pi } }}e^{{{ - \left( {x - \mu } \right)^2 } \mathord{\left/ {\vphantom {{ - \left( {x - \mu } \right)^2 } {2\sigma ^2 }}} \right. \kern-\nulldelimiterspace} {2\sigma ^2 }}}$
but I got some issues..
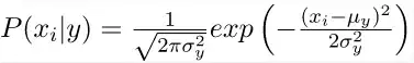
The final formula should look like this:
Can you help me please?
Thank you very much in advanced!!

