Major edit: tikz-cd
I agree with the commenter, that tikz-cd is more capable a package than xymatrix. If one were to attempt the same thing using tikz-cd, this would be the code:
\documentclass[a4paper,12pt]{article}
\usepackage{newtxtext,newtxmath}
\usepackage{tikz-cd}
\usetikzlibrary{arrows,arrows.meta}
\tikzcdset{
,row sep=normal
,column sep=normal,
,/tikz/baseline=0pt
,arrow style=tikz
,diagrams={>=stealth}
% ,diagrams={>=stealth'}
% ,arrows={-Latex}
}
\begin{document}
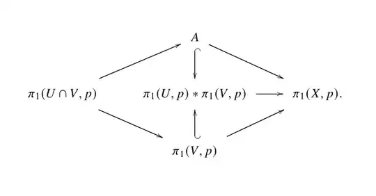
\begin{tikzcd}
& & A \arrow[rrdd, "k_*"] \arrow[dd, hook] & & \
& & & & \
{\pi_1(U\cap V,p)} \arrow[rruu, "i_*"] \arrow[rrdd, "j_*"'] & & {\pi_1(U,p)\pi_1(V,p)} \arrow[rr] & & {\pi_1(X,p).} \
& & & & \
& & {\pi_1(V,p)} \arrow[uu, hook'] \arrow[rruu, "l_"'] & &
\end{tikzcd}
\end{document}
And this the output:

Arrow tips
You can change the arrow tips by exchanging ,diagrams={>=stealth} with ,diagrams={>=stealth'} or ,arrows={-Latex} to just name a few possibilities. Try it out and play with it, it's really fun.
xymatrix
You have to set the entry default margin @M=dimen as specified on page 10 of the manual: https://ctan.org/pkg/xymatrix
\documentclass[a4paper,12pt]{article}
\usepackage[all]{xy}
\usepackage{newtxtext,newtxmath}
\begin{document}
\begin{displaymath}
\xymatrix@M=.75pc@C=2pc{
& A \ar[dr] \ar@{^{(}->}[d] & \
\pi_1(U\cap V,p)\ar[ur] \ar[dr] & \pi_1(U,p)*\pi_1(V,p) \ar[r] & \pi_1(X,p).\
& \pi_1(V,p) \ar[ur] \ar@{_{(}->}[u]&
}
\end{displaymath}
\end{document}

You could also change the entry height @H=dimen set entry default height:
\documentclass[a4paper,12pt]{article}
\usepackage[all]{xy}
\usepackage{newtxtext,newtxmath}
\begin{document}
\begin{displaymath}
\xymatrix@H=1.5pc@C=2pc{
& A \ar[dr] \ar@{^{(}->}[d] & \
\pi_1(U\cap V,p)\ar[ur] \ar[dr] & \pi_1(U,p)*\pi_1(V,p) \ar[r] & \pi_1(X,p).\
& \pi_1(V,p) \ar[ur] \ar@{_{(}->}[u]&
}
\end{displaymath}
\end{document}

xy. – Sebastiano Aug 08 '20 at 15:16