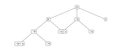
I wish to reduce the width between the children in a tree.
Look at the image given below:

The right child of F is getting hidden due to left child negation(r).This is how my latex file looks like as of now
\documentclass[12pt,letterpaper]{article}
\usepackage[margin = 1in]{geometry}
\usepackage{amsmath}
\usepackage{amssymb}
\usepackage{fancyhdr}
\usepackage{tikz}
\usetikzlibrary{trees}
\begin{document}
\begin{center}
\begin{tikzpicture}[sibling distance=10em,
every node/.style = {
shape=rectangle,
rounded corners,
draw,
align=center,
top color=white,
bottom color=blue!5}]]
\node {$\varnothing$}
child{node {F}
child{node {$\lnot$p}
child{node {$\lnot$p$\lor$ q}}
child{node {$\lnot$q}}
}
child{node {p}}
}
child{node {$\lnot$r}
child{node {$\lnot$r$\lor$ s}}
child{node {$\lnot$s}}
}
child{node {r}};
\end{tikzpicture}
\end{center}
\end{document}
How do I fix this issue?Thanks in advance!

