How to write the equation in latex mode described in the below image.
Asked
Active
Viewed 467 times
1 Answers
5
As starting point:
\documentclass{article}
\usepackage{mathtools}
\begin{document}
[
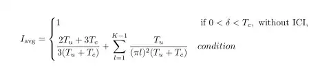
I_{\mathrm{avg}} =
\begin{dcases}
1 & \text{ if } 0 < \delta < T_c, \text{ without ICI}, \
\frac{2T_u+3T_c}{3(T_u+T_c)} + \sum_{l=1}^{K-1}\frac{T_u}{(\pi l)^2(T_u+T_c)}
& condition
\end{dcases}
]
\end{document}
- the writing of the second condition I left to you
- solution consider how such math structures are usually written
- math environment
dcasesis defined in themathtoolspackage, which is enhanced of theamsmathpackage defined by American Mathematics Association, so it is considered as standard way of writing advanced mathematics amsmathdefinecases, which in comparison todcasesleft math inside cases structure in inline mode (as is written in the text)- for basic how to write math in LaTeX you can learn from some introductory text about LaTeX and writing mathematics, for example in the The Not So Short Introduction to LaTeX and in the wiki Mathematics.
Zarko
- 296,517
-
-
1@Sebastiano, I left this to OP (fro practice that he write the second condition himself on the way as is written first condition) ... but so far no response from him :-(. Well, today is Sunday :-) – Zarko Jul 26 '20 at 15:03
-
1Naturally....I'm agree with you....good Sunday from the hot Sicily. – Sebastiano Jul 26 '20 at 15:08
-
@Sebastiano, we have mix of high humidity, very short showers and moderate hot day :-). I'm a bit jealous on your weather ... – Zarko Jul 26 '20 at 18:42
-
We reached 38 degrees this afternoon and now there is a scirocco wind that is certainly good for my cervical :-( – Sebastiano Jul 26 '20 at 19:31


casesenvironment. – Jul 26 '20 at 05:37\begin{cases} ... \end{cases}block, except that your example is typeset in\textstylerather than\displaystyle. – Davislor Jul 26 '20 at 05:55\textnormal, probably align them, and have a\sum_{t=1}^{K-1}and a few\fracexpressions. – Davislor Jul 26 '20 at 05:57