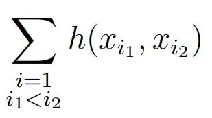
Can anyone give me the latex code for writing a condition under the subscript of sum as in the following image?
Asked
Active
Viewed 1,486 times
0
reeba
- 1
-
Hi and welcome. Please give a MWE How to make a “minimum example” – AndréC Jul 24 '20 at 16:14
-
@Leucippus Thank you very much. This helps me. – reeba Jul 24 '20 at 16:21
1 Answers
1
Welcome to the TeX.SE. Here there is a short code for your request. The original font seem be Cambria Math.
\documentclass[a4paper,12pt]{article}
\usepackage{amsmath}
\begin{document}
\[
\sum_{\substack{i=1 \\ i_1<i_2}}h(x_{i_1},x_{i_2}) \]
\end{document}
Sebastiano
- 54,118
