For the Delta and X there is no need for any particular alignment, so I think gather is what you want here. Whereas for x' and x'' you want align. Also, for big fractions you want to display, use dfrac (from amsmath), and for some short bits of text between equations, use shortintertext from mathtools).
\documentclass{article}
\usepackage{amsmath,mathtools}
\begin{document}
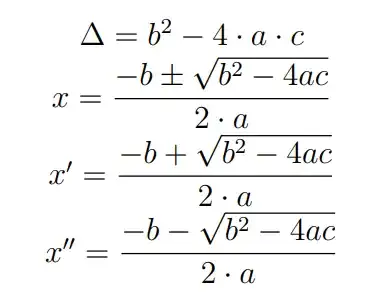
For a quadratic with determinant $ \Delta $ where
\begin{gather}
\Delta = b^2 - 4ac, \\
\shortintertext{we have the general solution}
x = \dfrac{-b \pm \sqrt{\Delta}}{2a}.
\end{gather}
This has the two roots $ x' $ and $ x'' $ given by
\begin{align}
x' & = \dfrac{-b + \sqrt{\Delta}}{2a} \\
\shortintertext{and}
x'' & = \dfrac{-b - \sqrt{\Delta}}{2a}.
\end{align}
\end{document}

As an aside, consider using x^+ and x^- instead of the prime notation, as it makes things clearer, as people will think you're talking about derivatives.
\rmit is a old command. After I suggest you to this link: https://tex.stackexchange.com/questions/503/why-is-preferable-to/69854 – Sebastiano Jul 13 '20 at 11:31