I am using for now the following code to produce two equations, that should each be numbered and aligned. However, both equations are too long, so they should be on two lines.
\begin{equation}
\begin{split}
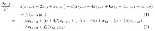
\frac{\partial x_{t,i}}{\partial t} &= \alpha(x_{t,i-1}-2x_{t,i}+x_{t,i+1})-
\beta(x_{t,i-2}-4x_{t,i-1}+6x_{t,i}-4x_{t,i+1}+x_{t,i+2})\\
&+ f_{x}(x_{t,i},y_{t,i})\\
&= -\beta x_{t,i-2}+(\alpha+4\beta)x_{i-1,t}+
(-2\alpha-6\beta)+x_{i,t} + (\alpha+4\beta)x_{i+1,t})\\
&-\beta x_{t,i+2} + f_{x}(x_{t,i},y_{t,i})
\end{split}
\end{equation}
But I want both equation to get a number, and that the second line of each equation is more to the middle instead of under the =-sign as I did. I tried the multline, but that does not allow me to align, inserting \ gives me equation numbers for each line (so four in total), so if someone has an idea, that would be great!


