I'm currently writing my dissertation in civil engineering using LaTeX. I think LaTeX is really good. I have been slowly distancing myself now from Microsoft Word. LaTeX is good for me since my paper (nonlinear structural dynamics) may eventually contain more than a thousand equations.
I just have one problem now.
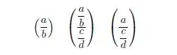
Consider the following fraction with delimiter.
\left( \frac{a}{b} \right)
So far, there is really no problem with that fraction. The delimiters automatically resize.
Now, consider the following "complex" fraction with delimiters:
\left( \frac{\dfrac{a}{b}}{\dfrac{c}{d}} \right)
Again, there is no problem with this "complex" fraction, since the delimiters automatically resize.
Now, here's the problem. Consider the following "complex" fraction with delimiters:
\left( \frac{a}{\dfrac{c}{d}} \right)
The result of this is that the delimiters resize, but there is extra "vertical white space" within the region of the numerator. This is because the numerator is just a "variable" while the denominator is another fraction in "displaystyle" font size. Thus, they have different "sizes". I intentionally wanted the font size in the denominator to be bigger since I'm trying to show equations in display mode. (If the denominator was in textstyle fontsize, then there would be less "vertical white space" in the numerator, but the problem is still there. I really want the denominator to be in displaystyle font size.)
What I would want, if possible, is that the delimiter would resize but only up to the "actual size" of the complex fraction. In MathType, this problem is solved using the "fence alignment" command in the "Format" menu, where the delimiters resize exactly up to the size of the complex fraction.
Sometimes, the manual sizing commands \big, ... \Bigg commands can help, but when I have a "complex-complex-complex" fraction, even the biggest \Bigg command doesn't help anymore.
Output of the code samples:

I have been seeking help from the Internet, but I haven't found a solution yet.
