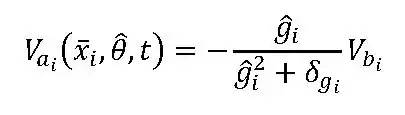
Take a look at the following images,
XeLaTeX typeset formula:

Word generated formula:

Note specifically the difference of the \hat implementations at g_i and g_i^2 in XeLaTeX. In Word the two implementations are the same. Also note that the hats in XeLaTeX are both larger than Word's.
A minimum working example is the following:
\documentclass{book}
\usepackage{unicode-math}
\setmathfont{Cambria Math}
\begin{document}
\[
V_{a_i}\left(\bar{x}_i,\hat{\theta},t\right) = -\frac{\hat{g}_i}{\hat{g}_i^2+\delta_{g_i}}V_{b_i}
\]
\end{document}
Why is this happening? Is there a way to make things better in XeLaTex?
V_{a_i}– pluton May 02 '12 at 23:10