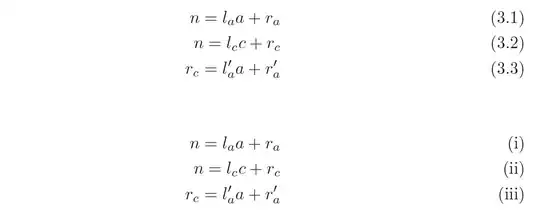
Is there a way to make align label equations by roman numbers?
E.g. instead of labels (3.1),(3.2),(3.3) I would like to have (i),(ii),(iii)
Thanks for a help!
Is there a way to make align label equations by roman numbers?
E.g. instead of labels (3.1),(3.2),(3.3) I would like to have (i),(ii),(iii)
Thanks for a help!
Currently the equation numbers are generated using:
\def\theequation{\arabic{section}.\arabic{equation}}
This should be changed to:
\def\theequation{\roman{equation}}
\romaninstead of the suggested\arabicor\alph. – KersouMan Apr 29 '20 at 15:26