I am trying to align three equations using align like this but I am not sure where to put the &.
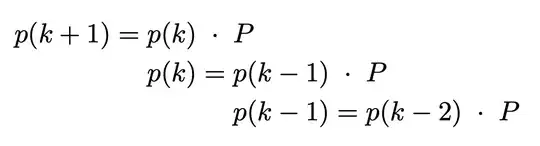
p(k+1) = p(k) * P
p(k) = p(k-1) * P
p(k-1) = p(k-2) * P
Attempt:
\begin{align*}
p(k+1) = &p(k) \cdot P \\
p(k) = &p(k-1) \cdot P \\
&p(k-1) = p(k-2) \cdot P
\end{align*}


