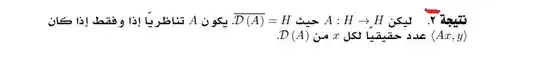
Is there a way to get rid of those Eastern Arabic numerals (Arabic-Hindu) in page, section and theorem numbering when I type in arabic with LyX ? I just want have arabic numerals instead.
Here is my preamble :
%% LyX 2.3.3 created this file. For more info, see http://www.lyx.org/.
%% Do not edit unless you really know what you are doing.
\documentclass[a4paper]{arabart}
\usepackage[T1,LAE]{fontenc}
\usepackage[utf8]{inputenc}
\usepackage{microtype}
\makeatletter
%%%%%%%%%%%%%%%%%%%%%%%%%%%%%% LyX specific LaTeX commands.
\pdfpageheight\paperheight
\pdfpagewidth\paperwidth
\@ifundefined{date}{}{\date{}}
\makeatother
\usepackage[arabic]{babel}


lualatexis an option, I would use it. See examples in https://github.com/latex3/babel/tree/master/samples . – Javier Bezos Apr 13 '20 at 08:26