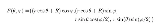
I thought that alignat inserted no extra spaces between columns. Then why in the following is the part \left.(r \cos \theta + R) \sin \varphi,\right. of the first row pushed toward the right?
\documentclass{article}
\usepackage{amsmath}
\begin{document}
\begin{alignat*}{3}
F(\theta, \varphi)= & \left((r \cos \theta + R) \cos \varphi, \right. & \left.(r \cos \theta + R) \sin \varphi,\right.
\\
& & \left. r \sin \theta \cos (\varphi/2),\, r \sin (\theta ) \sin (\varphi/2)\,\right)
\end{alignat*}
\end{document}






&instead of 3, the alignment point of the second column is not specified, and by default, it is set at the end of the column, i.e. the latter is right-aligned. – Bernard Apr 09 '20 at 21:06&to avoid the misalignment? – murray Apr 09 '20 at 21:08alignat{3}for two columns! Also, I removed the pairs of\left ... \rightwhich did nothing to replace all of them by a single pair\bigl( ... \bigr)((which can have ampersands or line breaks in between). – Bernard Apr 09 '20 at 21:21