I am using the answer to the question bracket in subequations but my equation is too long and the equation numbering is failing as shown in the MWE (modified from the MWE given in the question).
I am looking for a work around: usually when an equation is too long the number is put on the line just below, but equation by equation, not for the whole set as it does here.

\documentclass{article}
\usepackage{empheq}
\begin{document}
\begin{subequations}
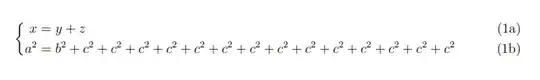
\begin{empheq}[left=\empheqlbrace]{align}
x & = y + z\\
a^{2} & = b^{2} + c^{2} + c^{2} + c^{2} + c^{2} + c^{2} + c^{2} + c^{2} + c^{2} + c^{2} + c^{2} + c^{2} + c^{2} + c^{2} + c^{2}
\end{empheq}
\end{subequations}
\end{document}



