0

How to write the following four-row equation?

enter image description here

An idea please.

Mico
  • 506,678

3 Answers3

3

My welcome again...and now I have finished your example.

\documentclass[a4paper,12pt]{article}
\usepackage{amsmath,amssymb}
\begin{document}
\[
\begin{aligned}
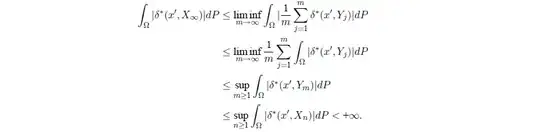
   \int_{\Omega}\lvert\delta^{*}(x', X_{\infty})\rvert\, dP& \leq \liminf_{m\to\infty} \int_{\Omega} \biggl|\frac 1m \sum^{m}_{i=1}\delta^{*}(x', Y_{j})\biggr|\, dP \\
    & \leq \liminf_{m\to\infty} \frac 1m \sum^{m}_{i=1} \int_{\Omega} \lvert\delta^{*}(x', Y_{j})\rvert\, dP\\
    & \leq \sup_{m\geq 1}\int_{\Omega} \lvert\delta^{*}(x', Y_{m})\rvert\, dP \\
    & \leq \sup_{n\geq 1}\int_{\Omega} \lvert\delta^{*}(x', X_{n})\rvert\, dP <+\infty
\end{aligned}
\]

\end{document}  

enter image description here

Sebastiano
  • 54,118
0

Load the package amsmath in the preamble and type something like:

\begin{align}
\int_{\Omega} |\delta^{*}(x^{\prime},X_{\infty})|dP &\leq \underset{m \to \infty}{\text{lim inf}}  \int_{\Omega} | \frac{1}{m} \sum_{j=1}^{m} \delta^{*}(x^{\prime},  Y_j )| dP  \nonumber \\
&\leq \cdots
\end{align}

Where I wrote dots for the parts that you can derive from the line I wrote.

  • 4
    If no number is wanted, align* can be used. Easier to spot than \nonumber. – barbara beeton Mar 22 '20 at 20:00
  • 1
    Also, do consider writing \liminf_{m\to\infty} rather than \underset{m \to \infty}{\text{lim inf}}: The space between "lim" and "inf" should be slightly less than a full inter-word space. – Mico Mar 29 '20 at 23:23
0

Just for the sake of variety, here's a solution that embeds a split environment in an unnumbered displayed equation. It also defines 3 macros -- \abs, \dstar, and \intOm -- to streamline the entering of repeatedly occurring expressions.

Overall, the result is (unsurprisingly!) very similar to that given in Sebastiano's solution.

enter image description here

\documentclass{article}
\usepackage{mathtools} % for '\DeclarePairedDelimiter' macro
\DeclarePairedDelimiter\abs\lvert\rvert
\newcommand\dstar[1]{\delta^*\mkern-2mu(x',#1)}
\newcommand\intOm{\int_{\Omega}}

\begin{document}
\[
\begin{split}
\intOm \abs{\dstar{X_\infty}} \,dP
&\le \liminf_{m\to\infty} \intOm \abs[\bigg]{ \frac{1}{m} \sum_{j=1}^\infty \dstar{Y_j}} \,dP \\
&\le \liminf_{m\to\infty} \frac{1}{m} \sum_{j=1}^\infty \intOm \abs{\dstar{Y_j}} \,dP\\
&\le \sup_{m\ge1} \intOm \abs{\dstar{Y_m}} \,dP \\
&\le \sup_{n\ge1} \intOm \abs{\dstar{X_n}} \,dP < +\infty
\end{split}
\]
\end{document}
Mico
  • 506,678