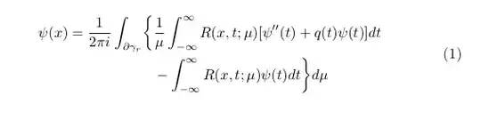
I tried the other posts here on the following problem, but they don't work for this equation. I have the following:
\begin{equation}
\psi(x)=\frac{1}{2\pi i}\int_{\partial\gamma_r}\left\{\frac{1}{\mu}\int_{-\infty}^{\infty}R(x,t;\mu)[\psi^{\prime\prime}(t)+q(t)\psi(t)]dt\\
-\int_{-\infty}^{\infty}R(x,t;\mu)\psi(t)dt \right\}d\mu
\end{equation}
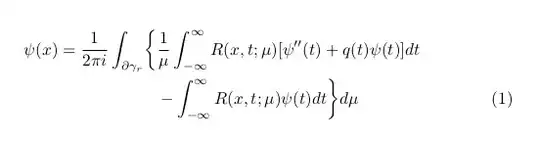
however, as you can see the tall curly brackets only work without array, but the formula is too long. I then try with array, but it fails to work:
\begin{equation}
\begin{array}{cc}
\psi(x)=\frac{1}{2\pi i}\int_{\partial\gamma_r}\left\{\frac{1}{\mu}\int_{-\infty}^{\infty}R(x,t;\mu)[\psi^{\prime\prime}(t)+q(t)\psi(t)]dt\\
-\int_{-\infty}^{\infty}R(x,t;\mu)\psi(t)dt \right\}d\mu
\end{array}
\end{equation}
How can this be made so it looks correct?
Thanks





