This is a way of doing it; I am using the difference between border pins and external pins of the muxdemux component to create the boxes. If you maintain the ratio between NL, Lh and w constant you will have nice-looking objects, and of course is quite easy to encapsulate the "rectangle draw" thing into macros.
\documentclass[border=10pt]{standalone}
\usepackage[siunitx, RPvoltages]{circuitikz}
\begin{document}
\begin{circuitikz}[
]
\tikzset{small text/.style={
font=\tiny,
right,
inner xsep=1pt,
},
}
% four input plain thing. I am using two pins more to give space
% for the text
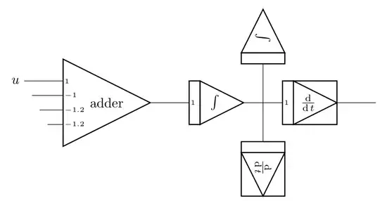
\node[muxdemux, no input leads, muxdemux def={Lh=4, NL=6, w=4, Rh=0, NR=1}]
(A){adder};
\draw (A.blpin 2) node[small text]{$1$} -- ++(-1,0) node[left]{$u$};
\draw (A.blpin 3) node[small text]{$-1$} -- ++(-0.8,0);
\draw (A.blpin 4) node[small text]{$-1.2$} -- ++(-0.6,0);
\draw (A.blpin 5) node[small text]{$-1.2$} -- ++(-0.4,0);
\draw (A.brpin 1) -- ++(1,0) coordinate(one);
% integrator --- I use three input pins to build the rectangle
% I use the difference between border pin and exteral pin to build the
% square block
\node[muxdemux, no input leads, muxdemux def={Lh=2, NL=3, w=2, Rh=0, NR=1}, anchor=lpin 2]
(B) at(one) {$\int\quad$};
\draw[line width=0.8pt] (B.north west -| B.lpin 2) rectangle (B.south west -| B.blpin 2);
% notice that there is a small overshoot of the triangle for the line bevel. You can adjust for that if you want.
\draw (B.brpin 1) -- ++(1,0) coordinate(two);
\node [small text] at (B.lpin 2) {$1$};
% deriver ---
\node[muxdemux, no input leads, muxdemux def={Lh=2, NL=3, w=2, Rh=0, NR=1}, anchor=lpin 2]
(C) at(two) {$\frac{\mathrm{d}}{\mathrm{d}\,t}\quad$} ;
\draw[line width=0.8pt] (C.north west -| C.lpin 2) rectangle (C.south west -| C.brpin 1);
\node [small text] at (C.lpin 2) {$1$};
\draw (C.brpin 1) -- ++(1,0) coordinate(three);
\end{circuitikz}
\end{document}

To have a more compact thing,
you can use the nice trick by Schrödinger's cat with pics and append after command; in this case, you need to add an anchor to the muxdemux that is missed (I'll add it in a next release!):
\documentclass[border=10pt]{standalone}
\usepackage[siunitx, RPvoltages]{circuitikz}
\makeatletter
\def\pgfaddtoshape#1#2{% https://tex.stackexchange.com/a/14772/38080
\begingroup
\def\pgf@sm@shape@name{#1}%
\let\anchor\pgf@sh@anchor
#2%
\endgroup
}
% we need to add an anchor to muxdemux
\pgfaddtoshape{muxdemux}{
\anchor{top left ext}{%
\topleft\advance\pgf@x by -\extshift
}}
\makeatother
\begin{document}
\begin{circuitikz}[
]
\tikzset{small text/.style={
font=\tiny,
right,
inner xsep=1pt,
},
integral block/.style={append after command={%
pic{inputrect}}
},
derivative block/.style={append after command={%
pic{fullrect}}
},
pics/inputrect/.style={code={\let\mytikzlastnode\tikzlastnode
% adjust thickness
\draw[line width=0.8pt] (\mytikzlastnode.top left ext) rectangle (\mytikzlastnode.bottom left);}},
pics/fullrect/.style={code={\let\mytikzlastnode\tikzlastnode
% adjust thickness
\draw[line width=0.8pt] (\mytikzlastnode.top left ext) rectangle (\mytikzlastnode.south east);}},
}
% four input plain thing. I am using two pins more to give space
% for the text
\node[muxdemux, no input leads, muxdemux def={Lh=4, NL=6, w=4, Rh=0, NR=1}](A){adder};
\draw (A.blpin 2) node[small text]{$1$} -- ++(-1,0) node[left]{$u$};
\draw (A.blpin 3) node[small text]{$-1$} -- ++(-0.8,0);
\draw (A.blpin 4) node[small text]{$-1.2$} -- ++(-0.6,0);
\draw (A.blpin 5) node[small text]{$-1.2$} -- ++(-0.4,0);
\draw (A.brpin 1) -- ++(1,0) coordinate(one);
% integrator --- I use three input pins to build the rectangle
% I use the difference between border pin and exteral pin to build the
% square block
\node[muxdemux, muxdemux def={Lh=2, NL=3, w=2, Rh=0, NR=1},
no input leads, integral block,
anchor=lpin 2](B) at(one) {$\int\quad$};
% notice that there is a small overshoot of the triangle for the line bevel. You can adjust for that if you want.
\draw (B.brpin 1) -- ++(1,0) coordinate(two);
\node [small text] at (B.lpin 2) {$1$};
% deriver ---
\node[muxdemux, muxdemux def={Lh=2, NL=3, w=2, Rh=0, NR=1},
no input leads, derivative block,
anchor=lpin 2](C) at(two) {$\frac{\mathrm{d}}{\mathrm{d}\,t}\quad$};
\node [small text] at (C.lpin 2) {$1$};
\draw (C.brpin 1) -- ++(1,0) coordinate(three);
%
% you can also rotate them...
%
\draw (B.brpin 1) ++(0.5,0) -- ++(0,1) coordinate(four);
\node[muxdemux, muxdemux def={Lh=2, NL=3, w=2, Rh=0, NR=1},
no input leads, integral block,
anchor=lpin 2, rotate=90](D) at(four) {$\int\quad$};
\draw (B.brpin 1) ++(0.5,0) -- ++(0,-1) coordinate(five);
\node[muxdemux, muxdemux def={Lh=2, NL=3, w=2, Rh=0, NR=1},
no input leads, derivative block,
anchor=lpin 2, rotate=-90](D) at(five) {$\frac{\mathrm{d}}{\mathrm{d}\,t}\quad$};
\end{circuitikz}
\end{document}

muxesobjects released in 1.0 for an almost straightforward implementation of your circuit. – Rmano Feb 27 '20 at 07:53