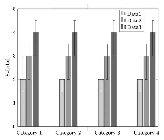
I would like to add the minimum and maximum values to the plot shown below. Sofar I could not find the solution online.
If possible I would like to write my data in a specific format.
Thanks for any help, I am not really familiar with plotting in Latex.
Desired format for "Data1" as an example:
avg min max
2.0 1.5 3.0
2.0 1.5 3.0
2.0 1.5 3.0
2.0 1.5 3.0
\documentclass{report}
\usepackage[utf8]{inputenc}
\usepackage{tikz}
\usepackage{pgfplots}
\pgfplotsset{compat=1.15}
\usetikzlibrary{external}
\begin{document}
\pgfplotstableread{
0 2 3 4
1 2 3 4
2 2 3 4
3 2 3 4
}\dataset
\begin{tikzpicture}
\begin{axis}[ybar,
width=.9\textwidth,
ymin=0,
ymax=5,
ylabel={Y-Label},
xtick=data,
xticklabels = {
Category 1,
Category 2,
Category 3,
Category 4
},
major x tick style = {opacity=0},
minor x tick num = 1,
minor tick length=2ex,
]
\addplot[draw=black,fill=black!20] table[x index=0,y index=1] \dataset; %Data1
\addplot[draw=black,fill=black!40] table[x index=0,y index=2] \dataset; %Data2
\addplot[draw=black,fill=black!60] table[x index=0,y index=3] \dataset; %Data3
\legend{Data1, Data2, Data3}
\end{axis}
\end{tikzpicture}
\end{document}


