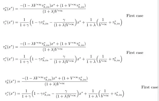
Here are three possibilities, one is based on the empheq package, which loads mathtools, which loads amsmath. I also improved a bit the look of the equations, removing unnecessary parentheses.
\documentclass{article}
\usepackage[showframe]{geometry}
\usepackage{empheq, amssymb}
\begin{document}
\begin{alignat*}{2}
% \nonumber % Remove numbering (before each equation)
\tau_{h}^{*}(x^{*}) &=\frac{-(1 - \lambda V^{*\infty}\tau_{h,in}^{*})x^{*} + (1 + V^{*\infty}\tau_{h,in}^{*})}{(1 + \lambda)V^{*\infty}} & & \\
\ArrowBetweenLines*[\text{First case}]
\tau_{c}^{*}(x^{*}) &=\frac{1}{1 + \gamma}\Bigl(1 - \gamma \tau_{h,in}^{*} - \frac{\gamma}{(1 + \lambda) V^{*\infty}}\Bigr) x^{*} + \frac{1}{1 + \lambda} \Bigl(\frac{1}{V^{*\infty}} + \tau_{h,in}^{*}\Bigr) & &
\end{alignat*}
\bigskip
\begin{empheq}[right=\text{\quad First case}]{align*}
\tau_{h}^{*}(x^{*}) &=\frac{-(1 - \lambda V^{*\infty}\tau_{h,in}^{*})x^{*} + (1 + V^{*\infty}\tau_{h,in}^{*})}{(1 + \lambda)V^{*\infty}} \\[1ex]
\tau_{c}^{*}(x^{*}) &=\frac{1}{1 + \gamma}\Bigl(1 - \gamma \tau_{h,in}^{*} - \frac{\gamma}{(1 + \lambda) V^{*\infty}}\Bigr) x^{*} + \frac{1}{1 + \lambda} \Bigl(\frac{1}{V^{*\infty}} + \tau_{h,in}^{*}\Bigr)
\end{empheq}
\bigskip
\begin{equation}\tag*{First case}
\begin{aligned}
\tau_{h}^{*}(x^{*}) &=\frac{-(1 - \lambda V^{*\infty}\tau_{h,in}^{*})x^{*} + (1 + V^{*\infty}\tau_{h,in}^{*})}{(1 + \lambda)V^{*\infty}} \\[1ex]
\tau_{c}^{*}(x^{*}) &=\frac{1}{1 + \gamma}\Bigl(1 - \gamma \tau_{h,in}^{*} - \frac{\gamma}{(1 + \lambda) V^{*\infty}}\Bigr) x^{*} + \frac{1}{1 + \lambda} \Bigl(\frac{1}{V^{*\infty}} + \tau_{h,in}^{*}\Bigr)
\end{aligned}
\end{equation}
\end{document}
