Normally when writing inline math formulas, in a paragraph of text, the line spacing is kept in tact but consider the following example
produced with the following code
\begin {document}
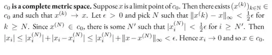
\textbf{$c_0$ is a complete metric space.} Suppose $x $ is a limit point of $c_0$. Then there exists $(x^{(k)} )_{k \in \mathbb{N}} \in c_0$ and such that $x^{(k)} \to x$. Let $\epsilon>0$ and pick $N$ such that $\|x^(k)-x\|_\infty < \frac{1}{2} \epsilon$ for $k \ge N$. Since $x^{(N)} \in c_0$, there is some $N'$ such that $|x_i^{(N)} | < \frac{1}{2} \epsilon$ for $i \ge N'$. Then $|x_i| \le |x_i^{(N)} | +|x_i-x_i^{(N)} | \le |x_i^{(N)} | +\|x-x^{(N) } \|_\infty <\epsilon$. Hence $x_i \to 0$ and so $x \in c_0$.
\end {document}
Would it be possible to format it so that the line spacing - between the ordinary text - is kept constant?
Much grateful for any help provided!
\documentclass[a4paper]{article}
\usepackage{amsfonts,amsmath,parskip}
\usepackage{ebgaramond} %font
\addtolength\textwidth{2cm} % I have not used this
\begin {document}
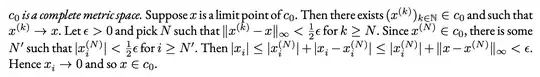
\textbf{$c_0$ is a complete metric space.} Suppose $x $ is a limit
point of $c_0$. Then there exists
$(x^{(k)} )_{k \in \mathbb{N}} \in c_0$ and such that $x^{(k)} \to
x$. Let $\epsilon>0$ and pick $N$ such that
$\|x^{(k)}-x\|_\infty < \frac{1}{2} \epsilon$ for $k \ge N$. Since
$x^{(N)} \in c_0$, there is some $N'$ such that
$|x_i^{(N)} | < \frac{1}{2} \epsilon$ for $i \ge N'$. Then
$|x_i| \le |x_i^{(N)} | +|x_i-x_i^{(N)} | \le |x_i^{(N)} | +\|x-x^{(N)
} \|_\infty <\epsilon$. Hence $x_i \to 0$ and so $x \in c_0$.
\end{document}






\begingroup\lineskiplimit=-\maxdimen <your contents>\endgroup– Ruixi Zhang Jan 01 '20 at 17:32x^(k)was intended to bex^{(k)}– David Carlisle Jan 01 '20 at 17:52