5

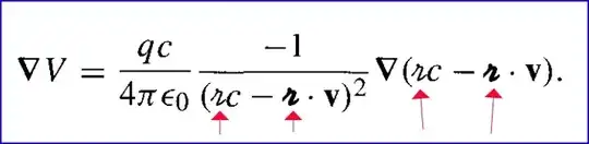
In a book on Classical Electrodynamics we meet fonts for r and r as shown in the image below

enter image description here

Do there exist these math symbols in LaTeX ?

Frobenius
  • 225
  • 2
    This is in Griffiths' textbook right? – Vincent Dec 31 '19 at 01:33
  • @Vincent : Precisely. – Frobenius Dec 31 '19 at 01:40
  • 2
    calligra has an r that looks rather similar. \documentclass{article} \usepackage{calligra} \begin{document} \textcalligra{r} \end{document}. I do not recommend using this in formulae, though. –  Dec 31 '19 at 01:42
  • 3
    These are the script lowercase r and bold script lowercase r from the commercial font MathTime Pro 2. See mtp2lite documentation page 35. In particular, the lowercase letters in the square brackets. – Ruixi Zhang Dec 31 '19 at 01:55
  • 2
    If you purchased the complete MathTime Pro 2 font, then you can access these by calling \usepackage[mtpscr]{mtpro2}\usepackage{bm}...$\mathscr{r}$ and $\bm{\mathscr{r}}$. For example, https://i.stack.imgur.com/h8e4n.png (the terminal stroke is slightly different, possibly from MathTime Pro 1?) – Ruixi Zhang Dec 31 '19 at 02:03
  • @Frobenius Very kind my sincere welcome to TeX.SE. Here there are different options: https://tex.stackexchange.com/questions/21274/script-r-symbol. I prefer the answer of the user sylvain.The r is between Kaufmann-Bold symbols (.otf). – Sebastiano Dec 31 '19 at 12:50
  • 1
    @Sebastiano : Many thanks. IMO, sylvain's answer therein is the same as Vincent's herein. – Frobenius Dec 31 '19 at 12:56
  • @Frobenius Excuse me very much. I have not seen the link of Vincent. I used to use that r some time ago. Not anymore. In one or more questions asked on this site refer to the ryou were looking for. – Sebastiano Dec 31 '19 at 13:01
  • @Henri Menke : Many thanks for your comment. At the end I found all answers complicated and I do not intend to use such a symbol in any case. Professor Griffiths had created it successfully for special use in his textbook. – Frobenius Mar 28 '20 at 07:47

2 Answers2

4

The author of the said book in which this r is used, David J. Griffiths, provides some files on his website to insert it as an image from a .pdf file, with an example of use.

Vincent
  • 20,157
1

You can also do this in the modern toolchain by loading any script font of your choice as \mathscr (as well as \mathcal, \mathbfscr, etc.)

In this case, I used a font called Parisienne. You might prefer a different one, but it will do for this example. (It looks too much like a dotless i to me and needs a little more space between r and c.) Existing script fonts were not intended for physics equations. Since it comes in only one weight, I used FakeBold for \mathbfscr.

\documentclass{book}
\usepackage[paperwidth=10cm]{geometry} % Solely to format a MWE on TeX.SX.
\usepackage[math-style=ISO]{unicode-math}

\defaultfontfeatures{Scale = MatchLowercase}
\setmainfont{TeX Gyre Pagella}
\setmathfont{Asana Math}
% Uses the Parisienne font from:
% https://www.fontsquirrel.com/fonts/parisienne
\setmathfont[range=scr]{parisienne-regular.ttf}
\setmathfont[range=bfscr, FakeBold=1.2]{parisienne-regular.ttf}

\newcommand\epsilonnought{\mupepsilon_0}
\newcommand\vectorsym[1]{\symbfup{#1}}
\newcommand\upc{\symup{c}}

\begin{document}
Calligraphic \(\symcal{r}\) and \(\symbfcal{r}\) versus
script \(\symscr{r}\) and \(\symbfscr{r}\).

\[ \nabla V = \frac{q \upc}{4 \muppi \epsilonnought}
              \frac{-1}{(\symscr{r} \upc -
                 \symbfscr{r} \cdot \vectorsym{v})^2}
              \nabla(\symscr{r} \upc -
                 \symbfscr{r} \cdot \vectorsym{v})
\]
\end{document}

Font sample

Davislor
  • 44,045
  • Many thanks for your answer but I think it's a little complicated to use since I'm not an advanced user. – Frobenius Mar 28 '20 at 07:32