I want to add a line of dots between equation and equation numbers just like this:
And I got an answer from here
\begin{equation}
\hskip \textwidth minus \textwidth
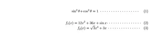
\sin^2{\theta}+\cos^2{\theta}=1
\leaders\hbox{$\cdot$ }\hskip \textwidth minus \textwidth
\end{equation}
However, it doesn't work in the eqnarray environment
\begin{eqnarray}
{f_1(x)=12x^2+36x+\sin x}
f_2(x)=\sqrt{3}{x^3+3x}
\end{eqnarray}
EDIT: Finally,my solution looks like this:
\newlength{\eqlength}
\newlength{\numlength}
\newlength{\dotlength}
\newlength{\frontlength}
\newcounter{eq}[chapter]
\stepcounter{eq}
\newcommand{\drawdots}[2][0pt]{
#2
\stepcounter{eq}
\settowidth{\eqlength}{$#2$}
\settowidth{\numlength}{(\thechapter.\theeq)}
\setlength{\dotlength}{0.5\textwidth-0.5\eqlength-\numlength}
\addtolength{\dotlength}{#1}
\makebox[0em][l]{\leaders\hbox{ $\cdot$}\hskip \dotlength}
}
\let\normeq\equation
\let\endnormeq\endequation
\renewenvironment{equation}{
\normeq
\drawdots
}{
\endnormeq
}
\begin{equation}
{\sin^2{\theta}+\cos^2{\theta}=1}
\label{eq:pingfanghe}
\end{equation}
\begin{align}
&\drawdots{f_1(x)=12x^2+36x+\sin x}\\
&\drawdots[4ex]{f_2(x)=\sqrt{3}{x^3+3x}}
\label{eq:fx2}
\end{align}



