Considering that in these weeks the newtx package is changing versions continuously from my old question Modify characters of mt2pro[lite] using Times, using this MWE,
\documentclass[a4paper,12pt]{article}
\usepackage{newtxtext,newtxmath}
%%%%%%%%%%%%%%%%%%%%%% Nuovo \partial
\DeclareFontFamily{U}{nxlmi}{}
\DeclareFontSubstitution{U}{nxlmi}{m}{it}
\DeclareFontShape{U}{nxlmi}{m}{it}{
<-6.3> nxlmi05
<6.3-8.6> nxlmi07
<8.6-> nxlmi0
}{}
\DeclareFontShape{U}{nxlmi}{b}{it}{
<-6.3> nxlbmi05
<6.3-8.6> nxlbmi07
<8.6-> nxlbmi0
}{}
\renewcommand{\partial}{{\text{\usefont{U}{nxlmi}{m}{it}\symbol{64}}\mspace{1mu}}}
\begin{document}
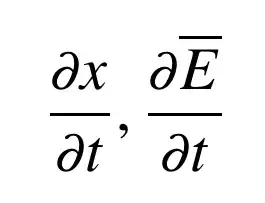
\[\frac{\partial x}{\partial t}, \frac{\partial \overline{E}}{\partial t}\]
\end{document}
I obtained these \partial symbol (number 64 of newtx package).
But compiling with TeXWorks (with last update of MikTeX) I have obtained another symbol, as from image,
The font is pretty but it is small compared to the size of the lowercase and uppercase of each characther. Now also if I remove the command \renewcommand{\partial}{{\text{\usefont{U}{nxlmi}{m}{it}\symbol{64}}\mspace{1mu}}} I will have the \partial symbol of mtpro2 lite.
I have not obtain the \partial symbol that exist into the guide of newtx. Why and what is the strategy to get the partial symbol of the first image?
ADDENDUM 2019/11/1:
As suggested by the very good author of newtx Michael Sharpe that I thank so much, the font nxlmi and its variants contain symbols from Libertine, and are called
when I supply the libertine option to newtxmath. It is ntxmi and variants that contain the symbols appropriate to newtxtext. Therefore I have changed my original code,
\documentclass{article}
\usepackage[lite]{mtpro2}
\usepackage{newtxtext}
\DeclareFontFamily{U}{ntxmi}{}
\DeclareFontSubstitution{U}{ntxmi}{m}{it}
\DeclareFontShape{U}{ntxmi}{m}{it}{
<-6.3> nxlmi05
<6.3-8.6> nxlmi07
<8.6-> nxlmi0
}{}
\DeclareFontShape{U}{ntxmi}{b}{it}{
<-6.3> ntxbmi05
<6.3-8.6> ntxbmi07
<8.6-> ntxbmi0
}{}
\renewcommand{\partial}{{\text{\usefont{U}{ntxmi}{m}{it}\symbol{64}}\mspace{1mu}}}
\begin{document}
\[
\partial t
\]
\end{document}
But with the new code I get the following error message:
! Undefined control sequence.
\partial ->{\text
{\usefont {U}{ntxmi}{m}{it}\symbol {64}}\mspace {1mu}}
l.23 \partial
t
?
If I remove the new definition of \partial -- \renewcommand{\partial}{{\text{\usefont{U}{ntxmi}{m}{it}\symbol{64}}\mspace{1mu}}} -- I get default \partial symbol of the package mtpro2.
\documentclass{article}
\usepackage[lite]{mtpro2}
\usepackage{newtxtext}
\DeclareFontFamily{U}{ntxmi}{}
\DeclareFontSubstitution{U}{ntxmi}{m}{it}
\DeclareFontShape{U}{ntxmi}{m}{it}{
<-6.3> nxlmi05
<6.3-8.6> nxlmi07
<8.6-> nxlmi0
}{}
\DeclareFontShape{U}{ntxmi}{b}{it}{
<-6.3> ntxbmi05
<6.3-8.6> ntxbmi07
<8.6-> ntxbmi0
}{}
\begin{document}
\[
\partial t
\]
\end{document}
How can I solve the problem? I am waiting patiently for an possible answer.





newtxmath. Just remove the redefinition of\partial. – egreg Oct 21 '19 at 13:59\textcommand. Load theamsmathpackage to get rid of the error message. – Mico Nov 01 '19 at 21:46structure.texfor my book I have loadedmathtoolsinstead ofamsmathbut I have always the new symbol :-(. Thank you very much. – Sebastiano Nov 01 '19 at 21:50mathtoolspackage loads theamsmathpackage automatically. :-) – Mico Nov 01 '19 at 21:51\partialstyles. – Mico Nov 01 '19 at 22:28