I'm trying to have the following horizontal alignment of (enumerated) questions, but for some reason there is a misalignment in all the columns except for the first. Or maybe it is the first that is misaligned, I can't understand. Is there an easy way for a rookie like me to fix this? If it can be done with another environment, other than tabular, or even with a new package, I would much appreciate it.
\documentclass[a4paper,12pt]{article}
\usepackage{amsmath}
\usepackage{amsfonts}
\usepackage[utf8]{inputenc}
\usepackage[english,greek]{babel}
\usepackage[inline]{enumitem}
\begin{document}
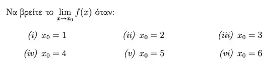
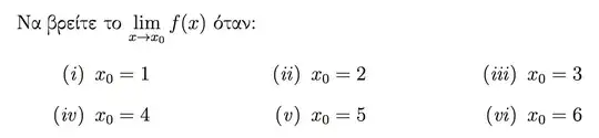
\noindent Να βρείτε το $\underset{x\to x_0}{\textlatin{lim}} f(x)$ όταν:
\begin{enumerate}[label=(\!\it\roman*\rm)]
\begin{tabular}{p{0.3\textwidth}p{0.3\textwidth}p{0.3\textwidth}}
\item $x_0=1$ & \item $x_0=2$ & \item $x_0=3$ \\ \item $x_0=4$ & \item $x_0=5$ & \item $x_0=6$
\end{tabular}
\end{enumerate}
\end{document}




taskspackage. – leandriis Oct 03 '19 at 20:29