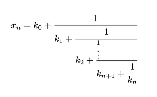
As shown in the below screenshot, how could I type this complicated fraction for x_n in problem 5?

Asked
Active
Viewed 153 times
1 Answers
1
Try \cfrac{}{} command from amsmath package.
\documentclass{minimal}
\usepackage{amsmath}
\begin{document}
\[
x_{n} = k_{0} +
\cfrac{1}{k_{1} +
\cfrac{1}{k_{2} +
\cfrac[l]{\substack{1 \\ \vdots}}{k_{n + 1} +
\cfrac{1}{k_{n}}}}}
\]
\end{document}
Bill
- 61

\[x_n=k_0+\frac{1}{k_1+\frac{1}{.....}}\]– azetina Sep 22 '19 at 00:33