I need do refactoring ugly equations.
\documentclass{article}
\usepackage{amsmath}
\begin{document}
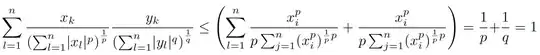
$
\sum_{l=1}^{n}
\frac{x_{k}}{\left(\overset{n}{\underset{l=1}{\sum}}\vert
x_{l}\vert^{p}\right)^{\frac{1}{p}}}\
\frac{y_{k}}{\left(\overset{n}{\underset{l=1}{\sum}}\vert
y_{l}\vert^{q}\right)^{\frac{1}{q}}} \text{ } \leq
\overset{n}{\underset{l=1}{\sum}} \frac{x_{i}^{p}}{p
\sum_{j=1}^n (x_{i}^{p})^{\frac{1}{p} p}} + \frac{y_{i}}{(q
\sum_{j=1}^n y_{i}^{q})^{\frac{1}{q}q}}= \frac{1}{p} +
\frac{1}{q} = 1
$
\end{document}
What is your experience to create more flexibility TeX?
I consider using command to underscore \sum. What is your opinion about this solution?



\right? but hard to tell as it can not be run, but also what is your actual question – David Carlisle Sep 20 '19 at 21:21\left, many thanks for your suggestions. – Martin Inf1n1ty Sep 20 '19 at 21:31\overset{n}{\underset{l=1}{\sum}: How about\sum\limits_{l=1}^n? – Henri Menke Sep 20 '19 at 21:34