You're overcomplicating things:
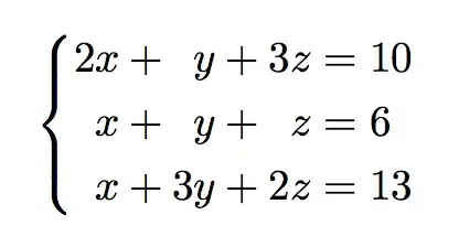
\documentclass{article}
\usepackage{amsmath}
\begin{document}
\begin{equation}
\left{
\begin{alignedat}{3}
% R & L & R & L & R & L
2x & +{} & y & +{} & 3z & = 10 \
x & +{} & y & +{} & z & = 6 \
x & +{} & 3y & +{} & 2z & = 13
\end{alignedat}
\right.
\end{equation}
\end{document}

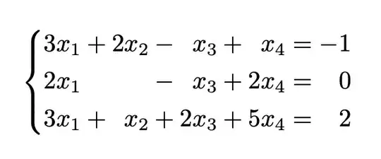
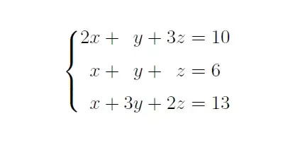
Of course one might also use systeme. The alignment in the codes below is not necessary, it's used just to ease the reading of the code itself.
\documentclass{article}
\usepackage{amsmath,systeme}
\begin{document}
\begin{equation}
\systeme{
2x + y + 3z = 10,
x + y + z = 6,
x + 3y + 2z = 13
}
\end{equation}
\end{document}

If one adds \sysalign{r,r} to the document preamble, the output would be

A different example motivated by Displaying linear equation (variable under variable)
\documentclass{article}
\usepackage{amsmath,systeme}
\sysalign{r,r}
\begin{document}
\begin{equation}
\systeme{
3x_1 + 2x_2 - x_3 + x_4 = -1,
2x_1 - x_3 + 2x_4 = 0,
3x_1 + x_2 + 2x_3 + 5x_4 = 2
}
\end{equation}
\end{document}

\systeme? – egreg Sep 15 '19 at 09:34