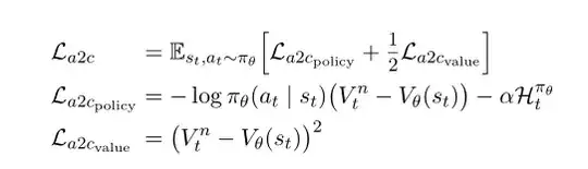
I have a list of equations and I want them to be centered and aligned to the beginning of the equation and by the equal sign. This is what I tried so far:
\begin{align*}
\mathcal{L}_{a2c} &= \mathbb{E}_{s_t,a_t\sim\pi_{\theta}}[\mathcal{L}_{a2c_{policy}} + \frac{1}{2}\mathcal{L}_{a2c_{value}}]\\
\mathcal{L}_{a2c_{policy}} &= -\log{\pi_{\theta}(a_t|s_t)}(V_t^n-V_\theta(s_t)) - \alpha\mathcal{H}_t^{\pi_\theta}\\
\mathcal{L}_{a2c_{value}} &= {(V_t^n-V_\theta(s_t))}^2
\end{align*}
but unfortunately, I get:
As the image shows, the equations are aligned by "=" but start in different positions.


