I want to use this symbol for the product integral:
Perhaps with a bigger loop, too. What's the best way of building this notation?
I got it to work for just the integral sign itself.
\usepackage{adjustbox}
\def\Prodint
{\adjustbox{trim = 0pt 0pt 0pt 0.15\height, clip} {$\displaystyle\int$}
{\hspace{-0.45em} \mathrel{\raisebox{0.9em}{$\rho$}}}}
$$|\psi(t)\rangle=\Prodint U_t(dt)|\psi(0)\rangle$$
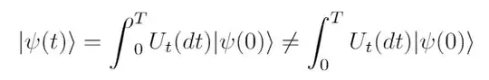
But its behaviour with (especially lower) limits is really bad.
$$|\psi(t)\rangle=\Prodint_0^T U_t(dt)|\psi(0)\rangle\ne\int_0^T U_t(dt)|\psi(0)\rangle$$
How can I get the lower limit to be placed like in the standard \int (see above for reference)?



