I am trying in every way to find all the possibilities to best center the first equation in a subequations environment. I can't use the option alignat because the colored enumeration (here there is the full code of @Werner An elegant aspect for enumerate the equations of a book)
\documentclass{book}
\usepackage{mathtools}
\usepackage[svgnames, dvipsnames, table, x11names]{xcolor}
\usepackage{pifont}
\definecolor{ocre}{RGB}{243,102,25}
%----------------------------------------------------------------------------------
% Change number equations with sections
%----------------------------------------------------------------------------------
\usepackage{chngcntr}
\counterwithin{equation}{section}
\renewcommand{\theequation}{\thesection-\arabic{equation}}
\newcommand{\eqnnumsymbol}{\textcolor{ocre}{\reflectbox{\ding{228}}}}
\makeatletter
\newtagform{bbrackets}% <name>
[\textbf]% Internal style
{(}% Left bracket
{\ifnum\pdfstrcmp{\@currenvir}{equation}=0
\eqnnumsymbol%
\else
\ifnum\pdfstrcmp{\@currenvir}{align}=0
\eqnnumsymbol%
\fi
\fi
)}% Right bracket
\makeatother
\usetagform{bbrackets}
\begin{document}
See both~\eqref{eq:eqn1} and~\eqref{eq:eqn2}. Also see~\eqref{eq:eqn3}.
\begin{equation}
\oint \mathbf{E} \cdot d \mathbf{a} = \int \rho \, \mathrm{d}v \label{eq:eqn1}
\end{equation}
\begin{equation}
\oint \mathbf{B} \cdot d \mathbf{a} = \mathbf{0} \label{eq:eqn2}
\end{equation}
\begin{align}
abc \label{eq:eqn3}
\end{align}
\end{document}
disappears in my book.
I tried to reverse the symbols of & or to add it, but nothing to do. Do you have any suggestions? Thank you all.
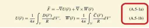
I am adding the MWE and the screenshot.
\documentclass[a4paper,12pt]{article}
\usepackage{amsmath,amssymb}
\begin{document}
\begin{subequations}
\begin{align}
\overline {F} &=-\overline{\nabla}U(\bar{r})+ \overline{\nabla} \times \overline{W}(\bar{r}) \label{Undec}\\
U(\bar{r})&=\frac1{4\pi}\int_{\mathcal{V}}\frac{D(\bar{r}')}{R}dV', \quad \overline{W}(\bar{r})=\frac1{4\pi}\int_{\mathcal{V}}\frac{\overline{C}(\bar{r}')}{R}dV' \label{Undec1}
\end{align}
\end{subequations}
\end{document}
ADDENDUM
With gather option I obtain this:





=signs, is it not a requirement? Or do you expect both equations to be moved to the right? – frougon Jul 23 '19 at 21:28gatherpossibility to yourbbracketscode? It looks like that would be needed to get the red arrow in the tag. (gatherreally is the structure that you want here, as @frougon has answered.) – barbara beeton Jul 24 '19 at 02:20\qquadif it works. :-) – Sebastiano Jul 24 '19 at 11:34gather, which I don't really consider as a new concept... – frougon Jul 24 '19 at 20:10