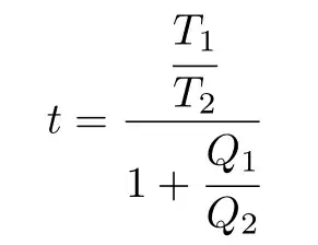
Consider the following MWE:
\documentclass{article}
\usepackage{amsmath}
\begin{document}
\begin{equation*}
t = \frac{\dfrac{T_1}{T_2}}{1+\dfrac{Q_1}{Q_2}}
\end{equation*}
\end{document}
For my taste, the vertical spacing above and below the fraction line is too small. I'm aware of the various questions that have been asked before (e.g., "vertical spacing in nested fraction"), but I do not find the solutions advocated there to be satisfactory.
What I would like to be able to do is to set either a global factor (for all fractions) or a local factor (for a specific fraction) that stretches the default spacing.
Any ideas on how I could achieve this?
Edits:
- In the above MWE, the fraction is much simpler than the one I'm grappling with in my real document. So replacing the
\frac's by/won't help. - As suggested by my question, what I would like to have is a command that allows me to influence the spacing without changing the typesetting of the equation itself.





