I'd like to use a mathematical notation that looks like a fraction \frac{A}{B}, with an additional vertical line that extends from the right end of the horizontal line down towards the base line of the denominator. Is there an easy way to achieve this in such a way that it scales correctly in different settings?
5 Answers
I measure the fraction in the current style, via \mathpalette. Then I add a \vrule that's as high as the math axis (\fontdimen22 of the current font in family 2) plus half of the default rule thickness (\fontdime8 of the current font in family 3), as deep as the fraction and with width the default rule thickness.
Some negative space is needed, which is -\nulldelimiterspace, that I add back after the construction.
In order to leave some room, I added thin spaces on either side in the denominator.
\documentclass{article}
\usepackage{amsmath}
\usepackage{unicode-math} % comment out for pdflatex
\makeatletter
\newcommand{\funnyfrac}[2]{{\mathpalette\funny@frac{{#1}{#2}}}}
\newcommand{\funny@frac}[2]{\funny@@frac#1#2}% trick for passing three args to \mathpalette
\newcommand{\funny@@frac}[3]{%
\begingroup
\sbox\z@{$\m@th#1\frac{#2}{\,#3\,}$}%
\usebox\z@
\kern-\nulldelimiterspace
\funny@fractionrule{#1}%
\kern\nulldelimiterspace
\endgroup
}
\newcommand{\math@param}[3]{%
\fontdimen#3
\ifx#1\displaystyle\textfont#2
\else\ifx#1\textstyle\textfont#2
\else\ifx#1\scriptstyle\scriptfont#2
\else\scriptscriptfont#2 \fi\fi\fi
}
\@ifpackageloaded{unicode-math}{%
\usepackage{ifluatex}
\ifluatex
\newcommand{\funny@fractionrule}[1]{%
\vrule height \dimexpr\Umathaxis#1+0.5\Umathfractionrule#1\relax
depth \dp\z@
width \Umathfractionrule#1\relax
}
\else
\usepackage{xfp}
\newcommand{\funny@fractionrule}[1]{%
\sbox\tw@{$\textstyle x$}\sbox\@tempboxa{$#1x$}%
\vrule height \fpeval{\ht\@tempboxa/\ht\tw@}%
\dimexpr\fontdimen22\textfont2+0.5\fontdimen8\textfont3\relax
depth \dp\z@
width \fpeval{\ht\@tempboxa/\ht\tw@}\fontdimen8\textfont3
}
\fi
}{% no unicode-math
\newcommand{\funny@fractionrule}[1]{%
\vrule height \dimexpr\math@param{#1}{2}{22}+0.5\math@param{#1}{3}{8}\relax
depth \dp\z@
width \math@param{#1}{3}{8} % default rule width
}
}
\makeatother
\begin{document}
$\displaystyle\funnyfrac{a}{b}$
$\textstyle\funnyfrac{a}{b}$
$\scriptstyle\funnyfrac{a}{b}$
$\scriptscriptstyle\funnyfrac{a}{b}$
$\displaystyle\funnyfrac{a}{\dfrac{1}{2}}$
$\funnyfrac{a+b}{c}+\funnyfrac{a}{b+c}$
\end{document}
- 1,121,712
The code below should get you the correct depth for the rule.
In the first version, I assumed a fraction rule width equal to 0.4pt (default rule width). Thanks to egreg's answer, I replaced this 0.4pt with a macro that expands to the \fontdimen8 of the appropriate math font (\textfont3, \scriptfont3 or \scriptscriptfont3, depending on the current math style).
The syntax is very easy: just use \strange or \strangeii instead of \frac.
Note: I added the \Bigg delimiters not because they look nice, but in order to show that the vertical rule is as deep as the fraction denominator, not as deep as the whole formula—which would be the case if one were to remove the outer set of braces in the replacement texts of \strange and \strangeii (these braces create a subformula that is as high and as deep as the fraction).
\documentclass{article}
\usepackage{xparse}
\makeatletter
% Small amount of expl3 code for the DRY principle
\ExplSyntaxOn
\cs_new_protected:Npn \__michael_mathchoice:nnnn #1#2#3#4
{ \mathchoice {#1} {#2} {#3} {#4} }
\cs_generate_variant:Nn \__michael_mathchoice:nnnn { oooo }
% Expand to a \fontdimen parameter of a math font
%
% #1: 'text', 'script' or 'scriptscript' (for \textfont, \scriptfont or
% \scriptscriptfont, respectively)
% #2: font family (0-16)
% #3: number of the font parameter (cf. TeXbook p. 447)
\cs_new:Npn \__michael_math_param:nnn #1#2#3
{ \fontdimen #3 \use:c { #1font } #2 }
% Default rule width \__michael_math_param:nnn {#1} {3} {8} based on a hint
% from egreg's answer (<https://tex.stackexchange.com/a/499972/73317>).
\cs_new_protected:Npn \__michael_small_rule:n #1
{
\vrule
width \dim_eval:n { \__michael_math_param:nnn {#1} {3} {8} }
height \dim_eval:n { \__michael_math_param:nnn {#1} {2} {22} +
0.5\__michael_math_param:nnn {#1} {3} {8} }
\relax
}
% Generate the vertical rule to be used on the right of the fraction
% in the appropriate style.
\NewDocumentCommand \michaelsmallrule { }
{
\__michael_mathchoice:oooo
{ \__michael_small_rule:n { text } }
{ \__michael_small_rule:n { text } }
{ \__michael_small_rule:n { script } }
{ \__michael_small_rule:n { scriptscript } }
}
\ExplSyntaxOff
\newcommand*{\strangeii}[2]{% No need for the % here: we are in math mode
{ \frac{#1}{#2} \michaelsmallrule }
}
% See <https://tex.stackexchange.com/a/233033/73317> and TeXbook p. 150
\newcommand*{\strange}[2]{% with correction for horizontal space
{ \frac{#1}{#2} \kern-\nulldelimiterspace \michaelsmallrule }
}
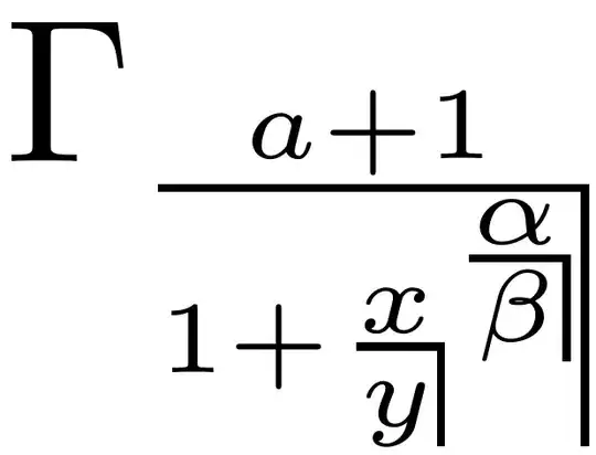
\newcommand*{\mytest}[1]{%
\par
In text style: $\Biggl(2 + #1{x+1}{(2y-8)^2} \Biggr)$; in subscripts and
subsubscripts:
$\Gamma_{ #1{a+1}{1+#1{x}{y}^{#1{\alpha}{\beta}}} }$; finally, in a display formula:
\[ \Biggl( 2 + #1{x+1}{(2y-8)^2} \Biggr). \]
}
\makeatother
\begin{document}
\section*{With \texttt{\string\strange}}
\mytest{\strange}
\section*{With \texttt{\string\strangeii}}
\mytest{\strangeii}
\end{document}
Zoom on the first expression that shows \strange in \scriptstyle and in \scriptscriptstyle:
For fun
It is possible to push the DRY principle a bit further in the expl3 code. I didn't do it above, because I think it makes the code significantly harder to read; but in case you are interested, here you are:
\cs_new_protected:Npn \__michael_small_rule_aux:n #1
{ \__michael_mathchoice:oooo #1 }
\cs_generate_variant:Nn \__michael_small_rule_aux:n { V }
% Generate the little vertical rule from middle to top of the fraction rule
% in the appropriate style.
\NewDocumentCommand \michaelsmallrule { }
{
% Prepare the argument list for the four styles; store it in \l_tmpa_tl.
\tl_clear:N \l_tmpa_tl
\clist_map_inline:nn { text, text, script, scriptscript }
{
\tl_put_right:Nn \l_tmpa_tl { { \__michael_small_rule:n {##1} } }
}
% Expand \l_tmpa_tl to construct the four arguments (they correspond to
% the arguments of \mathchoice, except that one expansion step will be
% done in each argument before it is fed to \matchoice)
\__michael_small_rule_aux:V \l_tmpa_tl
}
This can replace the definition of \michaelsmallrule in the complete code sample given above.
- 24,283
- 1
- 32
- 55
-
Thanks a lot. This looks good. I haven't been able to get your last edit working, but with the previous edit using LuaLaTeX and unicode-math, the vertical line extended above the horizontal line in subscript style. Any idea why, or how to fix it? Unfortunately I would need a lot more background to understand what your code does. – Michael Jul 14 '19 at 20:25
-
The last edit so far is only a minor text change, what do you mean? Can you post minimal code (e.g., on pastebin.com, etc.)? The code I posted works fine with LuaTeX here (
lualuatexexecutable). Do you mean the “For fun” section, maybe? – frougon Jul 14 '19 at 20:31 -
Here is a MWE to illustrate the problem with LuaLaTeX and unicode-math. It does not yet use the for fun edit. https://pastebin.com/UEj2J3Mh – Michael Jul 14 '19 at 20:48
-
But it's not such a big problem, since I doubt that I'll use the notation in subscripts, so thanks again for the effort! – Michael Jul 14 '19 at 20:52
-
1Thanks for the example. So, with
unicode-math,\fontdimen22of the appropriate math font doesn't seem to give the axis height contrary to what the TeXbook p. 447 seems to imply (also Heiko Oberdiek's answer). I wonder if it is anunicode-mathbug... In case you didn't notice, I found that the1.2ptis simply\nulldelimiterspace(and always the same unless you change it yourself). The “For fun” section is just a different programming style (smarter but less readable!), the behavior will be exactly the same. – frougon Jul 14 '19 at 21:12 -
Also, the fraction rules appear to be thinner in
\scriptstyleand\scriptscriptstylethan in\textstylewhenunicode-mathis used; this doesn't happen with the default rendering (non-unicode-math). Interesting... – frougon Jul 14 '19 at 21:21
Like this?
\documentclass{article}
\begin{document}
\[ \frac{A }{B\smash{\rule{0.4pt}{2.2ex}}} \quad\frac{A}{B}\]%
\end{document}
- 271,350
-
Yes, thanks! Unfortunately, in inline math mode the vertical bar extends above the horizontal one. Similarly in subscript style. (I'm using LuaLaTeX with unicode-math) – Michael Jul 14 '19 at 20:20
-
The vertical line height a problem of trial and error. I guess the
exunit is the global ex of the document, not of the fraction. You could use\mathpaletteto ensure it works also in indices, subindices, &c. – Bernard Jul 14 '19 at 20:26
My proposal is to change the holtpolt.sty and adapt for the fraction without left vertical bar, as the image in attachment:
The image is:
and the MWE:
\documentclass{article}
\usepackage{amsmath}
\newcommand{\holter}[2]{\begin{array}{c}\multicolumn{1}{c}{#1}\\\hline
\multicolumn{1}{c|}{#2}\end{array}}
\begin{document}
$\holter{A}{B}$
\end{document}
- 54,118
-
2Thanks, but this does not seem to scale like \frac to inline math or subscript style. – Michael Jul 14 '19 at 20:24
-
@Michael It is predefinite symbol of the list symbols-a4.pdf. See Table 268: holtpolt Non-commutative Division Symbols. http://tug.ctan.org/info/symbols/comprehensive/symbols-a4.pdf – Sebastiano Jul 14 '19 at 20:29
Only for fun.
\documentclass{article}
\usepackage{tikz,amsmath}
\newcommand{\mytikzmark}[2]{%
\tikz[remember picture,inner sep=-1pt,outer sep=0pt,baseline,anchor=base]
\node (#1) {\ensuremath{#2}};}
\begin{document}
\[ q
= \mytikzmark{n}{\dfrac{{Q_l}}{2}}
\]
\begin{tikzpicture}[overlay,remember picture]
\draw (n.-10) --++(-90:0.35);
\end{tikzpicture}
\end{document}






xfpis needed forxelatex. – egreg Jul 14 '19 at 22:40\usepackage{unicode-math}inside\ifluatex ... \fiin order to compile your code with pdfTeX (maybe this is incorrect for XeTeX, though). The error message is:unicode-math Error: Cannot be run with pdfLaTeX! (unicode-math) Use XeLaTeX or LuaLaTeX instead. – frougon Jul 14 '19 at 22:46\providecommanddoes something only ifunicode-mathis not loaded and the code is run throughpdflatex. Just comment out\usepackage{unicode-math}. – egreg Jul 14 '19 at 22:51\usepackage{unicode-math}that fails withpdfTeX. I do see the error, and it disappears if I comment out this\usepackage{unicode-math}(TL 2019 from up-to-date Debian unstable). – frougon Jul 14 '19 at 22:55\usepackage{unicode-math}if you runpdflatex. I added a comment for that. – egreg Jul 14 '19 at 22:56unicode-mathis loaded. – egreg Jul 14 '19 at 23:05