I am writing my thesis and I use the TeX Gyre Pagella Math fonts, but I have noticed that the integral sign is much too small compared to fractions.
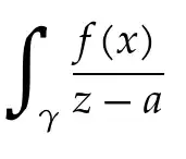
as you can see in the above image. I am using LuaLaTeX.
Is there any way to make the integral sign a more sensible size?
A minimal example:
\documentclass{article}
\usepackage{unicode-math}
\setmathfont{TeX Gyre Pagella Math Regular}
\begin{document}
\begin{equation}
f(a) = \frac{1}{2\pi i}\int_\gamma \frac{f(z)}{z-a}\mathrm d z
\end{equation}
\end{document}
Thanks in advance!







relsizeand try\mathlarger{\int}? – Bernard May 08 '19 at 20:56