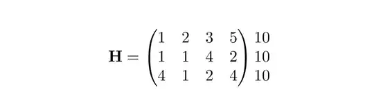
I would like to produce the following matrix :
:
My code is below which only produces the matrix without the additional column.
\documentclass{article}
\usepackage{amsmath}
\begin{document}
\begin{equation*}
\mathbf{H}=
\begin{pmatrix}
1 & 2 & 3 & 5\\
1 & 1 & 4 & 2\\
4 & 1 & 2 & 4
\end{pmatrix}
\end{equation*}
\end{document}



