I wouldn't align the first = with the other two, because they're unrelated and unbalance the final output.
Use aligned nested in aligned:
\documentclass[twocolumn]{article}
\usepackage{amsmath,amssymb}
\usepackage{lipsum} % for context
\DeclareMathOperator{\Var}{Var}
\DeclareMathOperator{\E}{\mathbb{E}}
\begin{document}
\lipsum*[3]
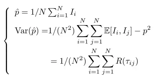
\begin{equation*}
\left\{
\begin{aligned}
& \hat{p}=\frac{1}{N} \sum_{i=1}^{N} I_{i} \\[1ex]
& \begin{aligned}
\Var(\hat{p})
&= \frac{1}{N^2} \sum_{i=1}^{N}\sum_{j=1}^{N} \E[I_{i},I_{j}] - p^2 \\
&= \frac{1}{N^2} \sum_{i=1}^{N}\sum_{j=1}^{N} R(\tau_{ij})
\end{aligned}
\end{aligned}
\right.
\end{equation*}
\lipsum
\end{document}
Note how I defined auxiliary commands for the variance and expectation.
Never use $$ in LaTeX, see Why is \[ ... \] preferable to $$ ... $$?.

If the document is not in two-column format, the second formula should not be split. If you prefer aligning the = signs, remove the nesting and change the place for the first &:
\begin{equation*}
\left\{
\begin{aligned}
\hat{p}
&= \frac{1}{N} \sum_{i=1}^{N} I_{i} \\[1ex]
\Var(\hat{p})
&= \frac{1}{N^2} \sum_{i=1}^{N}\sum_{j=1}^{N} \E[I_{i},I_{j}] - p^2 \\
&= \frac{1}{N^2} \sum_{i=1}^{N}\sum_{j=1}^{N} R(\tau_{ij})
\end{aligned}
\right.
\end{equation*}

$$. Use\[ \]instead – Apr 23 '19 at 13:55\right. If you want nothing visual, use\right.. – Steven B. Segletes Apr 23 '19 at 13:56