4

Is there a LaTeX symbol for it?

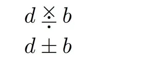
A non-educated guess is that it may look like the figure below.

geometric mean and geometric standard deviation operator

1 Answers1

4

Something like this?

enter image description here

\documentclass{article}
\newcommand\timesdiv{\mathbin{\vcenter{\hbox{%
   $\begin{array}{@{}c@{}}\times\\[-1.667ex]\div\end{array}$}}}}

\begin{document}
$d\timesdiv b$ 

$d\pm b$
\end{document}
Mico
  • 506,678