So, i have this code:
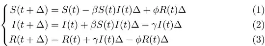
\begin{align}
S(t+\Delta) &= S(t)-\beta S(t)I(t)\Delta + \phi R(t) \Delta \label{S}\\
I(t+\Delta) &= I(t) + \beta S(t)I(t) \Delta - \gamma I(t) \Delta \label{I}\\
R(t+\Delta) &= R(t) + \gamma I(t)\Delta - \phi R(t)\Delta \label{R} \end{align}
I want this with the numbering after every line (i already have that); but i want an '{' in front of the three lines. Is that possible?

cases. So this question should probably also be marked a duplicate. – barbara beeton Mar 31 '19 at 14:03cases. – Mar 31 '19 at 14:20