There are multiple questions on the same topic. I am taking the answer of Werner from the question Multiple alignment
Multiple alignment points with no gap between expressions is obtained using the alignat environment from amsmath.
With that, the code changes to:
\documentclass{article}
\usepackage{amsmath}
\begin{document}
\begin{equation}
\begin{split}
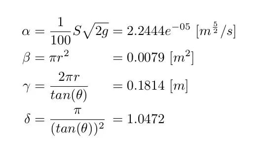
\alpha &= \frac{1}{100} S \sqrt{2g} = 2.2444e^{-05} \ [m^\frac52/s]\\
\beta &= \pi r^2 = 0.0079 \ [m^2]\\
\gamma &= \frac{2 \pi r}{tan(\theta)} = 0.1814 \ [m] \\
\delta &= \frac{\pi}{(tan(\theta))^2} = 1.0472
\end{split}
\end{equation}
\begin{alignat}{2}
\alpha &= \frac{1}{100} S \sqrt{2g} &&= 2.2444e^{-05} \ [m^\frac52/s] \notag\\
\beta &= \pi r^2 &&= 0.0079 \ [m^2]\\
\gamma &= \frac{2 \pi r}{tan(\theta)} &&= 0.1814 \ [m] \notag\\
\delta &= \frac{\pi}{(tan(\theta))^2} &&= 1.0472 \notag
\end{alignat}
\end{document}

amsmathetc. – Mensch Mar 29 '19 at 02:55&per line. Usealignedinstead, oralignat/alignedatas mentioned below. I tend to always usealignedin situations like this, and will only switch tosplitwhen I need the specific features it provides. – daleif Mar 29 '19 at 10:23