I recently managed to install the package minionpro (I use pdfLatex). It seems to me that the spacing is sometimes off, for example:
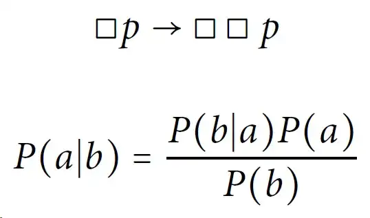
$$\square p \to \square \square p$$
$$ P(a|b) = \frac{P(b|a)P(a)}{P(b)} $$
gives the following, where there is more space than necessary (between the two squares, between the square and 'p', before 'a' and after 'b' in P(a|b)...)
I made the fonts following the procedure in the minionpro package readme (and not using fontpro), I wonder if that makes a difference.
MWE:
\documentclass{article}
\usepackage{MinionPro}
\begin{document}
$$\square p \to \square \square p$$
$$ P(a|b) = \frac{P(b|a)P(a)}{P(b)} $$
\end{document}



$$... $$it is a primitive syntax. – Sebastiano Mar 13 '19 at 07:41