I want to typeset these equations :




\documentclass{article}
\usepackage{amsmath,amssymb}
\begin{document}
We have
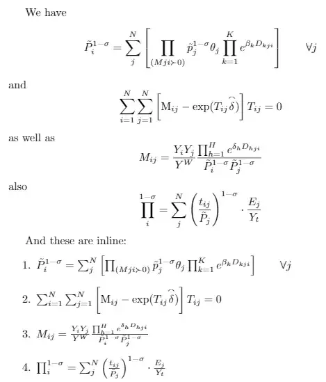
\[\tilde{P}_i^{1-\sigma}=\sum_j^N\left[\prod_{(Mji\succ0)}\tilde{p}_j^{1-\sigma}\theta_j\prod_{k=1}^Ke^{\beta_kD_{kji}}\right]\qquad\forall j\]
and
\[\sum_{i=1}^N\sum_{j=1}^N\left[\mathrm M_{ij}-\exp(T_{ij}\overset{\smallfrown}{\delta})\right]T_{ij}=0\]
as well as
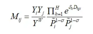
\[M_{ij}=\frac{Y_iY_j}{Y^W}\frac{\prod_{h=1}^He^{\delta_hD_{hji}}}{\tilde P_i^{1-\sigma}\tilde P_j^{1-\sigma}}\]
also
\[\prod_i^{1-\sigma}=\sum_{j}^N\left(\frac{t_{ij}}{\tilde P_j}\right)^{1-\sigma}\cdot\frac{E_j}{Y_t}\]
And these are inline:
\begin{enumerate}
\item $\tilde{P}_i^{1-\sigma}=\sum_j^N\left[\prod_{(Mji\succ0)}\tilde{p}_j^{1-\sigma}\theta_j\prod_{k=1}^Ke^{\beta_kD_{kji}}\right]\qquad\forall j$
\item $\sum_{i=1}^N\sum_{j=1}^N\left[\mathrm M_{ij}-\exp(T_{ij}\overset{\smallfrown}{\delta})\right]T_{ij}=0$
\item $M_{ij}=\frac{Y_iY_j}{Y^W}\frac{\prod_{h=1}^He^{\delta_hD_{hji}}}{\tilde P_i^{1-\sigma}\tilde P_j^{1-\sigma}}$
\item $\prod_i^{1-\sigma}=\sum_{j}^N\left(\frac{t_{ij}}{\tilde P_j}\right)^{1-\sigma}\cdot\frac{E_j}{Y_t}$
\end{enumerate}
\end{document}