I want to write following system of equation in my paper, but I don't know how:

Here is a code that I've tried, but it does not work:
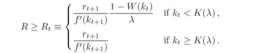
R\geqslant R_t \equiv \begin{cases} \frac{r_{t+1} (1-W(k_t)}{f'(k{t+1}
\lambda} &\mbox{if } k_t < K(\lambda) \\
\frac{r_{t+1}}{f'(k_{t+1})} & \mbox{if } k_t\geqslant K(\lambda)
\end{cases}
Any suggestions will be very helpful. Thanks


\geqslant. What about didn't work? Or were you wanting to get something closer to your image than you have? I would say that your code gives a better output than that image. – Teepeemm Feb 25 '19 at 16:57