Recently I asked a question on chat but I was told that I have to ask it on the main site, so here I am.
I am using cases environment to create multiple system of equations separated by a symbol e.g. \equiv. Here is an example:
\documentclass{article}
\usepackage[english]{babel}
\usepackage[utf8]{inputenc}
\usepackage[T1]{fontenc}
\usepackage{amsmath}
\begin{document}
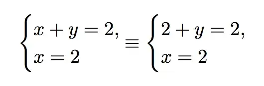
\[
\begin{cases}
x+y=2,\\x=2
\end{cases}
\equiv
\begin{cases}
2+y=2,\\x=2
\end{cases}
\]
\end{document}
However, as you can see there is a huge space between the end of the first cases and the \equiv. This is due of the absence of & symbol in cases, but I do not want to add this symbol to fill the space. So a manual, inefficient and even incorrect solution that I found was to add negative space, let's say add 5/6 \!'s just before \equiv.
If I add 5 negative spaces then there is more space on one side than on the other:
If I add 6 negative spaces then the same thing happens as before:
More than 6 or less than 5 will cause a worse output.
I would like that, keeping the same format of system of equations, there would be a homogeneous space on both sides of each cases. Is it possible?
Thanks!!
P.S. I would also like to know if in a system of equations you would separate each equation by a , except in the last equation that appears, that is, in the one below (unless there is a text that continues with the reading or that ends the sentence). Does AMS Style Guide say something about this?





\left\{\begin{array}{l}...\end{array}\right.instead ofcasesthen the space between the left brace and the system of equations should also be corrected, in addition to solve the problem of space between the environment and any consequent symbol. – manooooh Feb 22 '19 at 06:54