The physics package has the macros \dv and \pdv which are great but I have a small problem with them.
If an argument with parenthesis included right after them they eat the whole argument. If there is a space in between the argument everything works fine but I want to prevent this happening all together. I checked the documentation but couldn't find a solution. So an example would be
\documentclass{article}
\usepackage{physics}
\begin{document}
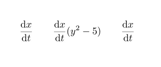
\[\dv{x}{t}(y^2-5) \qquad \dv{x}{t} (y^2-5) \qquad \dv{x}{t} \]
\end{document}

I want the output of the equation on the left to be the same as the middle one.



physicspackage. See e.g. this post: https://tex.stackexchange.com/questions/453274 – Henri Menke Jan 19 '19 at 07:23amsmathas you suggested, especially after seeing your remarks about how\evis defined – Calvin Kent Jan 19 '19 at 07:38