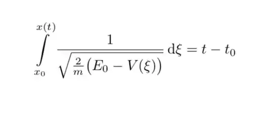
This code produces an ankward vertical alignment which involves the integral symbol and the fraction with the square root at the denominator. Why? How can I fix this?
\documentclass[a4paper]{article}
\usepackage{amsmath}
\usepackage{amssymb}
\usepackage{amsthm}
\usepackage{mathtools}
\begin{document}
\[
\int_{x_0}^{x(t)} \! \! \! \frac{1}{\sqrt{\frac{2}{m}\bigl
(E_0-V(x)\bigr)}} \, dx = t-t_0
\]
\end{document}



\bigintss(frombigints). – Werner Dec 30 '18 at 16:34