Curiously enough, \vdots is also legal in text mode, because it is defined as
\DeclareRobustCommand{\vdots}{%
\vbox{%
\baselineskip4\p@ \lineskiplimit\z@
\kern6\p@\hbox{.}\hbox{.}\hbox{.}%
}%
}
This fact should not be exploited, better use \vdots only in math mode.
On the contrary, \ddots is surrounded by \mathinner, so it has to appear in math mode:
\DeclareRobustCommand{\ddots}{%
\mathinner{%
\mkern1mu
\raise7\p@\vbox{\kern7\p@\hbox{.}}%
\mkern2mu
\raise4\p@\hbox{.}%
\mkern2mu
\raise\p@\hbox{.}
\mkern1mu
}%
}
What happens with your input can be understood once you realize that bmatrix internally uses array, where each cell implicitly has $ at the beginning and $ at the end. Thus in
$\vdots$
the first $ exits from math mode, producing an empty formula; then \vdots is typeset in text mode and finally another empty formula is produced from the trailing $ and the implicit $ at the end.
With $\ddots$ it is the same, but now TeX finds \mathinner in text mode and raises an error.
How to cure this? Just don't use $ inside bmatrix or anything that's already in math mode.
Caveat 1. I've seen several pieces of MathJax code where $ seems to be used as a mean to produce “weird” symbols: something like $\alpha$ = $\beta$ or worse. The code should be $\alpha=\beta$, of course.
Caveat 2. Never use $$ in a LaTeX document. See Why is \[ ... \] preferable to $$ ... $$?
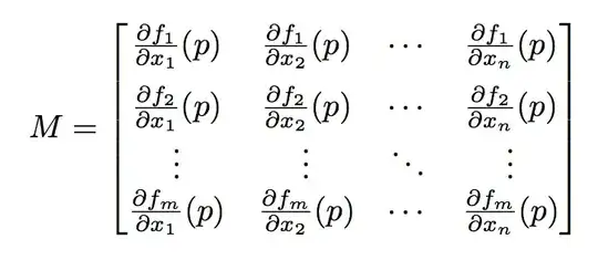
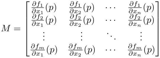
You may also want to increase the vertical spacing between the first two rows.
\documentclass{article}
\usepackage{amsmath}
\usepackage{amssymb}
\begin{document}
\begin{equation*}
M=\begin{bmatrix}
\frac{\partial f_1}{\partial x_1}(p) &
\frac{\partial f_1}{\partial x_2}(p) &
\cdots &
\frac{\partial f_1}{\partial x_n}(p) \\[1.5ex]
\frac{\partial f_2}{\partial x_1}(p) &
\frac{\partial f_2}{\partial x_2}(p) &
\cdots &
\frac{\partial f_2}{\partial x_n}(p) \\
\vdots & \vdots & \ddots & \vdots \\
\frac{\partial f_m}{\partial x_1}(p) &
\frac{\partial f_m}{\partial x_2}(p) &
\cdots &
\frac{\partial f_m}{\partial x_n}(p)
\end{bmatrix}
\end{equation*}
\end{document}

$$…$$is already in math mode, so you don't need more$...$around the\vdots– alephzero Dec 30 '18 at 01:48$$ ... $$by\[ .. \], add a documentclass,\begin{document}and\end{document}. – Dec 30 '18 at 01:58