I wouldn't use parentheses around the top line, it's easy to remove them anyway.
Before going to the proposed solution, some remarks:
- Never, ever, use
$$ in LaTeX.
- Never, ever, use consecutive display math environments.
- Don't load
latexsym: its job is already done by amssymb.
amssymb already loads amsfonts.
- Dots between commas should be low; using
\dots will generally give you the right ones (see https://tex.stackexchange.com/a/122497/4427)
A stylistic remark: using both \mathcal and \mathscr (from mathrsfs) can confuse readers.
In the code below I only load amsmath, the other packages are not necessary for this solution.
\documentclass[12pt,a4paper]{report}
\usepackage{amsmath}
\begin{document}
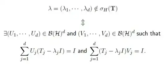
Let $\sigma_H(\mathbf{T})$ denote the Harte spectrum of $\mathbf{T}$ i.e.
\begin{gather*}
\bigl(\lambda=(\lambda_1,\dots,\lambda_d)\notin \sigma_H(\mathbf{T})\bigr)\\
\Updownarrow\\
\left[
\begin{tabular}{c}
$\exists (U_1,\dots,U_d)\in \mathcal{B}(\mathcal{H})^d$ and
$(V_1,\dots,V_d)\in \mathcal{B}(\mathcal{H})^d$ such that \\
$\displaystyle\sum_{j=1}^dU_j(T_j-\lambda_jI)=I$ and
$\displaystyle\sum_{j=1}^d(T_j-\lambda_jI)V_j=I$.
\end{tabular}
\right]
\end{gather*}
\end{document}

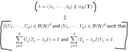
Differences from the good answer by GézàLaTeX:
the top line is surrounded by slightly bigger parentheses (but, as said, I think they should be removed);
for the bottom block I think it's better using tabular that frees from juggling with \text.
gather. – Johannes_B Dec 16 '18 at 10:00