Assumed I have this MWE to align the units off right:
\documentclass{article}
\usepackage{amsmath}
\usepackage{siunitx}
\makeatletter
\providecommand\add@text{}
\newcommand\tagaddtext[1]{%
\gdef\add@text{#1\gdef\add@text{}}}%
\renewcommand\tagform@[1]{%
\maketag@@@{\llap{\add@text\qquad}(\ignorespaces#1\unskip\@@italiccorr)}%
}
\makeatother
\begin{document}
Unfortunately the bracket does not fit to the height of the unit.
The units exponent is already positioned above the upper edge of the bracket. :-(
\begin{equation}
A = B + C \tagaddtext{[\si{\square\meter}]}
\end{equation}
How can I change this behavior?
\end{document}
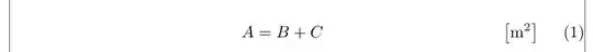
Screenshot of the result:
Description of the eyesore:
As you can see the corresponding brackets do not automatically adapt to the height of the unit. The exponent is higher than the bracket.
How can I change that behavior, so that the brackets will automatically adjust to the height of the highest/lowest point of the unit?


\tagaddtext{$\left[\si{\square\meter}\right]$}. But this is usually not recommended. The image you show is the correct behavior AFAIK. – Peter Grill Dec 06 '18 at 19:44\newcommand-configuration already? So that I only have to write\tagaddtext{\si{\square\meter}}into the document text and the brackets will show up automatically? – Dave Dec 06 '18 at 19:47\left...\rightare discussed in Is it ever bad to use \left and \right?, “(” or “\left(” parentheses?, What is the correct way to do delimiters? and [Difference between \big[ and \biglhttps://tex.stackexchange.com/q/1232/4301. – Peter Grill Dec 07 '18 at 00:21\left[ ... \right]now at all. I never tought about those spacing problems... – Dave Dec 07 '18 at 08:27