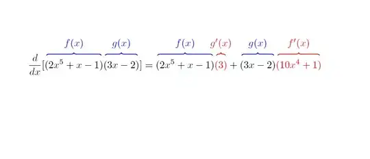
I am wondering if it is possible to add the extra symbols in this example given the way I have written the code. I have provided a minimal example and another image with the additional symbols of + and times.
\documentclass{article}
\usepackage{tikz,mathtools}
\usetikzlibrary{tikzmark}
\usetikzlibrary{decorations.pathreplacing}
%%% Derivative Macro
\newcommand{\der}[2]{\dfrac{d#1}{d#2}}
%%% Derivative Prime Notation
\newcommand{\pder}[2]{#1^{\prime}(#2)}
\begin{document}
\begin{align*}
\der{}{x} [\tikzmarknode{A}{(}2x^{5}+x-1\tikzmarknode{B}{)}\tikzmarknode{C}
{(}3x-2\tikzmarknode{D}{)}]&=\tikzmarknode{E}{(}2x^{5}+x-1\tikzmarknode{F}
{)}\tikzmarknode[red]{G}{(}\textcolor{red}{3}\tikzmarknode[red]{H}
{)}+\tikzmarknode{I}{(}3x-2\tikzmarknode{J}{)}\tikzmarknode[red]{K}
{(}\textcolor{red}{10x^{4}+1}\tikzmarknode[red]{L}{)}
\end{align*}
\begin{tikzpicture}[overlay, remember picture]
\draw [decoration={brace},decorate,thick,blue]
([yshift=5pt]A.north) -- node[midway, above=3pt] {$f(x)$}
([yshift=5pt]B.north);
\draw [decoration={brace},decorate,thick,blue]
([yshift=5pt]C.north) -- node[midway, above=3pt] {$g(x)$}
([yshift=5pt]D.north);
\draw [decoration={brace},decorate,thick,blue]
([yshift=5pt]E.north) -- node[midway, above=3pt] {$f(x)$}
([yshift=5pt]F.north);
\draw [decoration={brace},decorate,thick,red]
([yshift=5pt]G.north) -- node[midway, above=3pt] {$\pder{g}{x}$}
([yshift=5pt]H.north);
\draw [decoration={brace},decorate,thick,blue]
([yshift=5pt]I.north) -- node[midway, above=3pt] {$g(x)$}
([yshift=5pt]J.north);
\draw [decoration={brace},decorate,thick,red]
([yshift=5pt]K.north) -- node[midway, above=3pt] {$\pder{f}{x}$}
([yshift=5pt]L.north);
\end{tikzpicture}
\end{document}
This outputs:
With the above braces I am trying add some additional operations: + and \cdot
g'(x) is a little smaller in the code example but if I can add the symbols and I can also add space to compensate later. Is it possible???






